2017年高能新闻
您当前的位置:首页 > 新闻动态 > 高能新闻 > 要闻 > 2017年高能新闻
量子色动力学研究取得进展
文章来源:理论物理室  2017-12-25
】 【】 【

  快盈v3的贾宇研究员,与中国矿业大学、高能所客座学者冯锋副教授,以及西南大学的桑文龙副教授,在国际上首次成功计算了赝标重夸克偶素强衰变宽度的次次领头阶(NNLO)辐射修正,并结合最新的实验测量值进行了深入的唯象讨论。相关论文于12月20日发表在国际权威学术期刊《物理评论快报》 (Phys. Rev. Lett. 119, 252001 (2017))。该工作代表了重夸克偶素理论研究的一个重要进展。

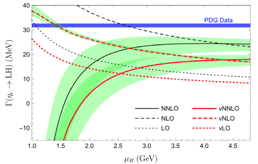
  解释重夸克偶素的湮灭衰变,历史上对确立量子色动力学的渐进自由的性质起过关键作用。大约40年前,赝标夸克偶素的单举强衰变宽度在非相对论极限下的次领头阶(NLO)辐射修正已被意大利和日本的两组理论家独立完成。NLO修正的贡献十分重要,因此人们自然好奇下一阶辐射修正的大小。由于技术上的巨大挑战,在将近40年的漫长时间内,人们对于ηc强衰变宽度的NNLO修正始终一无所知。随着近年来量子场论高阶微扰计算技术的迅速发展,2017年夏人们终于迎来了期待已久的突破。经过几年的不懈努力,贾宇等人克服了重重技术困难,最终借助于国家超级计算广州中心提供的天河平台成功完成了计算。在这篇论文中,贾宇等人首次明确验证了从QCD第一性原理出发的有效场论方法--非相对论性的QCD(NRQCD)因子化对于单举过程在次次领头阶依然成立。然而,将NNLO辐射修正与已知的相对论修正相结合,他们发现目前最完备的NRQCD预言与实验测量的ηc总宽度、尤其与实验测量的ηc衰变到双光子的分支比,均存在着严重分歧。这意味着著名的NRQCD方法尽管理论根基十分坚固,但对于粲夸克偶素而言,由于粲夸克质量不够大,导致微扰展开的收敛性非常差,使其有效性面临着严峻挑战。另一方面,NRQCD方法能够满意地解释实验测量的基态底夸克偶素ηb的强衰变宽度。同时,他们也给出了ηb衰变到双光子分支比的精确预言,Br[ηb→γγ]=(4.8±0.7)×10-5,有待将来被超级B工厂实验检验。

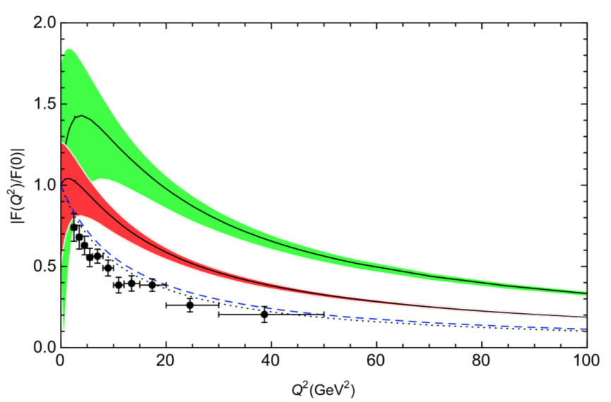
  值得指出的是,本工作的结论与贾宇等人于2015年发表在《物理评论快报》的论文(Phys. Rev. Lett. 115,222001(2015))的结论是相互印证的,即NRQCD方法应用于到涉及粲夸克偶素的过程面临挑战。那篇论文首次计算了粲夸克偶素遍举产生过程的NNLO辐射修正。他们细致研究了γ*γηc跃迁形状因子随动量转移的变化,发现当包含NNLO修正后,最精确的NRQCD预言与BaBar实验测量值相差甚远。

  贾宇等人首次对涉及粲夸克偶素的单举衰变与遍举产生过程计算了NNLO辐射修正,均发现其贡献十分重要,考虑其修正效应后,理论预言与实验测量严重不符。这意味着对粲偶素而言,NRQCD短程系数的微扰展开的收敛性很差。他们认为,这个问题的根源来自于粲夸克的质量并不是很大,因而在粲能标定义的强耦合常数并不算小,从而严重损害了微扰展开的收敛性。广为应用的NRQCD因子化方法虽然理论根基坚实,但对于粲夸克偶素而言,其有效性似乎面临着严峻挑战,仍需要后续的深入研究来寻找其解决方案。

   该工作受到国家自然科学基金委的资助。

  理论预言的ηc总宽度作为重整化能标μR的函数。其中LO、NLO、NNLO分别对应微扰展开领头阶、次领头阶、以及次次领头阶的理论预言。

图中蓝色带状图是ηc总宽度的实验测量值。  

  NRQCD因子化对ηc到双光子分支比的预言作为重整化能标μR的函数。图中蓝色带状图是ηc到双光子分支比的实验测量值。  

   NRQCD理论预言的(归一化的)γ*γηc跃迁形状因子随动量转移Q2的变化。图中带误差的黑点代表BaBar的实验测量值。

点线、虚线、实线分别代表在非相对论极限下关于微扰展开的领头阶、次领头阶,次次领头阶预言。

   

论文链接

Phys. Rev. Lett. 119, 252001 (2017):https://journals.aps.org/prl/abstract/10.1103/PhysRevLett.119.252001 

Phys. Rev. Lett. 115,222001(2015):https://journals.aps.org/prl/abstract/10.1103/PhysRevLett.115.222001

  


附件下载:

地址:北京市918信箱 邮编:100049 电话:86-10-88235008 Email:ihep@ihep.ac.cn
快盈v3 备案序号:京ICP备05002790号-1 文保网安备案号: 110402500050