宇宙线的能谱
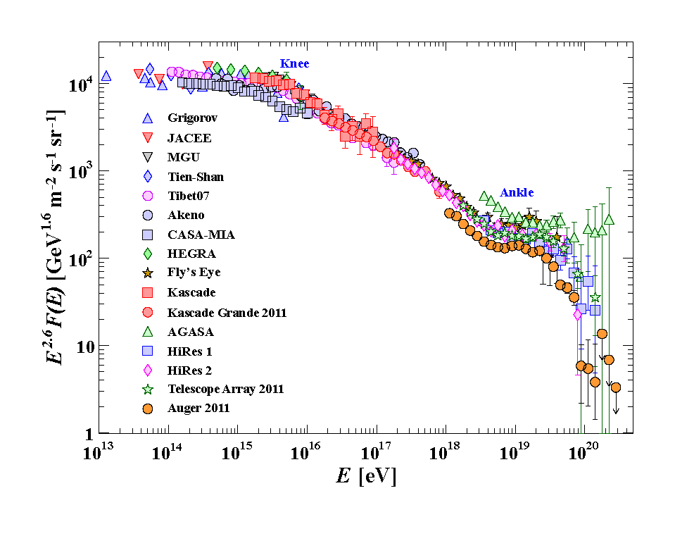
能够到达地球附近的初级宇宙线能量跨度从109eV至1020eV(约为12个量级),强度跨越32个量级,随着能量的增加流强服从dN/dE ∼ Eγ 的幂律谱形式,如下图所示:

能量越高的宇宙线,需要更大的探测器阵列面积和更长久的探测时间,例如在1011eV 附近,每秒每平方米大约能接收到一个粒子;在5×1015 eV(第一个“膝”)附近,每年每平方米大约能够接受到一个粒子;到了3×1018 eV(“踝”)附近,需要每年每平方公里才能接收到一个粒子。不同的能量反映了不同的起源,太阳宇宙线的能量最低,从100 GeV到1017 eV的宙线主要起源于银河系内,而能量高于1017 eV的宇宙线,主要来自于银河系外的广袤的宇宙。