网站地图联系我们English中国科学院
您现在的位置:首页 > 科学传播 > 科技前沿
那个最终破解了太阳中微子失踪之谜的人
2017-05-04 |文章来源: 邢志忠| 浏览次数:  |

  众所周知,2015年度的诺贝尔物理学奖授予了在日本超级神冈实验中发现大气中微子振荡现象的东京大学教授梶田隆章(Takaaki Kajita)和在加拿大萨德伯里中微子观测站(以下简记为SNO)破解太阳中微子失踪之谜的女王大学教授亚瑟·麦克唐纳(Arthur B. McDonald)。

   

  图片来源:nobelprize.org 

  后者尤其引人注目,原因很简单:自1968年雷蒙德·戴维斯(Ramond Davis)首次观测到太阳中微子并发现其通量与约翰·巴考尔(John Bahcall)等理论家基于标准太阳模型所做的预言有明显偏差开始,太阳中微子问题一直困扰着粒子物理学家和天体物理学家,直到2001年麦克唐纳以令人信服的方式证明了来自太阳内部核聚变的电子型中微子部分地转化成另外两种对传统探测技术不敏感的中微子(即μ子型和τ子型中微子),这一难题才得以最终解决。问题背后的物理本质在于中微子具有微小的静止质量,以及不同类型的中微子可以相互转化或振荡。正如诺贝尔奖颁奖词所强调的那样,麦克唐纳和梶田教授的获奖理由是“For the discovery of neutrino oscillations, which shows that neutrinos have mass”。那么,麦克唐纳是怎样带领自己的团队常年坚持在地下矿井工作,最终完成了这样一个不起的科学实验的呢?

   

  亚瑟·麦克唐纳(Arthur B. McDonald) 

  麦克唐纳1943年出生于加拿大的悉尼,他在故乡的达尔豪西大学读完了自己的本科和研究生学业,之后于1969年在美国加州理工学院获得了博士学位。特别值得令人回味的是,麦克唐纳攻读博士学位期间,研究太阳中微子问题的大师级先驱戴维斯和巴考尔也在那里工作。虽然那时麦克唐纳对这两位前辈及其科研工作一无所知,但后来他却走上了他们所开创的研究之路并且登峰造极。事实上,如果没有麦克唐纳所领导的SNO合作组在2001和2002年破解了太阳中微子失踪之谜,戴维斯本人也不太可能于2002年与小柴昌俊(Masatoshi Koshiba)以及里卡尔多·贾科尼(Riccardo Giacconi)共同获得诺贝尔奖物理学奖。分享了二分之一奖金的戴维斯和小柴教授的获奖理由是“for pioneering contributions to astrophysics, in particular for the detection of cosmic neutrinos”,换句话说,他们二人分别对太阳中微子和超新星(1987A)中微子的首次探测开启了中微子天文学之门。

   

  图片来源:nobelprize.org 

  值得一提的是,麦克唐纳的父母待人和善,这在很大程度上影响了他的性格。麦克唐纳相信,善于与人和睦相处,才能把生活过得更好,科研工作也是如此。所以他不仅尊重每一位学术界的同仁,而且对实验室的清洁工都彬彬有礼。他的高情商和人格魅力后来也帮助他把SNO国际合作组的其余273位成员紧密团结在自己的周围,为了一个共同的科学梦想而齐心合力,最终成功地解决了太阳中微子问题。即便是获得诺贝尔奖之后,麦克唐纳依然谦和低调,“当有人向我表达祝贺时,我的标准反应是,“我代表许多人谢谢您”,这是真的!”(When someone says congratulations, my standard response is,“Thank you, on behalf of a lot of people”, which is really true)。

  其实SNO项目最初是由16位科学家在1984年提出来的,当时该项目的核心人物是加州大学尔湾分校的华人物理学家陈华森,因为是他最早认识到:假如用重水作为太阳中微子的探测媒介,就可以模型无关地确定来自太阳中心核聚变的电子型中微子在到达地球探测器之前是否发生了“味”转化,即是否转化成了对普通水或者其他探测媒介不敏感的μ子型和τ子型中微子。由于太阳中微子的典型能量一般不超过10 MeV,即便电子型中微子部分转化为μ子型或者τ子型中微子,后者到达地球上的探测器内部后也无法触发得以生成μ子(静止质量102 MeV)或者τ子(静止质量1777 MeV)的带电流相互作用。陈华森教授的想法的独到之处在于太阳中微子能够与重水中的氘原子核同时发生带电流、中性流和弹性散射反应。假如电子型中微子在从太阳中心到达太阳表面以及地球探测器的途中没有发生任何异常,那么SNO实验通过上述三种不同的反应过程所测得的太阳中微子通量就应该是相等的。一旦电子型中微子在旅途中部分地转化为其他类型的中微子,那么实验上就应该观测到参与中性流相互作用的中微子的通量明显大于参与弹性散射过程的中微子的通量,而后者又大于参与带电流相互作用的中微子的通量。这一判断的理由很简单:带电流相互作用只对电子型中微子敏感;而另外两种相互作用对电子型中微子、μ子中微子和τ子中微子都敏感,虽然敏感的程度有所不同。上述探测原理不依赖于标准太阳模型的诸多不确定性,因此最终的探测结果将是模型无关、令人信服的。

   

  氘中微子反应(图片来源于网络) 

  要想将陈华森提出来的探测太阳中微子的新方法付诸实验,关键在于拥有足够的重水,但重水是价格昂贵的军用物质,不易得到。陈华森打听到加拿大的CANDU核反应堆储备了大量的重水,就通过乔治·尤恩(George Ewan)等加拿大同事与反应堆的管理部门取得了联系,询问是否可以暂借一定量的重水用作太阳中微子实验。出乎科学家们的意料,对方很痛快地答应了,愿意免费提供给SNO项目1000吨重水,价值三亿美元!1984年,SNO国际合作组召开了第一次会议,选举尤恩和陈华森分别作为加方和美方的发言人。

   

  陈华森(图片来源于网络) 

  不幸的是,陈华森于1987年因白血病医治无效而去世,享年只有45岁。这位来自重庆的科学奇才可谓命运多舛,幼年时以难民身份进入美国,靠打工为生,在先后加州理工学院和普林斯顿大学获得了学士和博士学位,之后一直致力于弱相互作用、原子核物理学和中微子物理学的实验研究。倘若他不是英年早逝的话,那么日后破解太阳中微子失踪之谜的盛誉很可能非他莫属。

  SNO实验是在萨德伯里郊区的一个2100米深的地下矿井中进行的,其探测器的主体部分就是盛有1000吨重水的容器。当年一些当地居民对该实验项目心怀疑虑,因为他们担心重水会产生辐射。为了打消市民的不安情绪,女王大学的物理学家比尔·麦克莱锡(Bill Mclatchie)于1986年在萨德伯里市政厅做了一个面向大众的科普报告,并在报告结束时将少量重水掺进一杯苏格兰威士,恭祝大家身体健康,然后一饮而尽。其实重水本身并不具有放射性,但为1000吨重水建造一个足够大的容器却很有挑战性。最终又是陈华森想出了一个好主意,他在带女儿参观圣地亚哥的海底世界时受到水族馆的视窗设计的启发,建议雇用同一家公司帮助SNO合作组建造一个盛装重水的巨大丙烯容器。

   

  (图片来源于网络) 

  1987年11月7日,才华横溢的陈华森教授不幸因病去世,这是整个SNO合作组的重大损失。于是当时身在普林斯顿的麦克唐纳应邀接替合作组美方发言人的职位,从此成为SNO实验的核心人物。两年之后,尤恩退休,麦克唐纳离开普林斯顿返回祖国,接受了空缺下来的女王大学的教授职位,开始设身处地地领导SNO实验,立志在加拿大打造出世界顶级的地下中微子实验室。1990年1月4日,SNO项目正式启动。合作组的科学家和工程师面临的第一个巨大挑战就是在矿井中建造直径12米的塑料丙烯容器。其次是在探测器中安装9600个光电倍增管并保证它们正常工作,用以探测太阳中微子与重水反应后生成的带电粒子所产生的切伦科夫辐射光。作为合作组的最高领导人,麦克唐纳总是善于在追求完美的科学家和追求实用和时效的工程师之间找到双方都能接受的平衡点,从而保证工程的进度并达到设备应有的设计指标和探测效率。他曾这样说道,“如果你能在两者之间创造对话的机会,你就会取得意想不到的效果。倘若我们之间的分歧是50对50,那我们最好再多花些时间讨论问题之所在”(If you can create a dialogue between the two, you can make something special. And if we have a 50-50 split, we’d better talk about this longer)。

   

  有些合作组成员为了生活方便,干脆把家搬到了萨德伯里。而包括麦克唐纳在内的其他合作组成员则不得不长期通勤。从1994年到2006年这12年时间里,麦克唐纳几乎每个周末从萨德伯里飞回安大略省的金斯敦与家人团聚,周一再飞回萨德伯里。他与妻子珍妮特是高中同学,两个人是在一次舞会上认识的,之后执手相伴,感情笃深。如今他们的婚姻已经历时51年,成为不朽的佳话。他们的女儿海瑟是这样评价每周通勤的父亲的,“我确信那一定很难,我知道他很疲倦。我父亲不得不要求其他人也做出类似的牺牲”(I’m sure it was difficult. I know he was tired. My dad had to ask others to make similar sacrifices)。由于每次旅行都要在多伦多机场转机,麦克唐纳自己也记不清楚在一家名叫Manchu Wok的快餐店吃了多少次饭,以至于有人误以为他本人就在那里工作呢。

   

  当代科学界的大明星、理论物理学家史蒂芬·霍金(Stephen Hawking)不仅于1998年参加了SNO观测站的官方启动仪式并在现场做了关于宇宙微波背景辐射的报告,而且于2012年乘坐轮椅进入到地下实验室参观。麦克唐纳教授在陪同参观的过程中这样评价霍金教授,“他是一个精力相当充沛的人”(He is a very spirited individual)。2000年6月,第19届国际中微子物理学与天体物理学会议(即Neutrino 2000会议)在萨德伯里召开,普林斯顿高等研究院的弦论大师爱德华·威滕(Edward Witten)应邀做了题为“轻子数与中微子质量”(Lepton number and neutrino masses)的大会开场报告。这些大理论家光顾SNO实验室,不仅显示出他们对实验物理学的重视,也印证了SNO实验本身的科学意义和重要性。

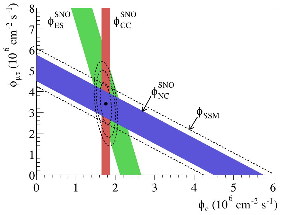
  在完成了所有探测器设备安装工作之后,SNO实验于1999年开始取数。2001年6月18日,麦克唐纳及其团队公布了他们测量硼8型太阳中微子与重水的带电流相互作用和弹性散射的实验结果,在3.3σ的置信度水平提供了电子型中微子转化成其他类型的中微子的初步证据。2002年4月21日,SNO合作组进一步公布了他们对中性流相互作用的测量结果,在5.3σ的置信度水平确认了太阳中微子的“味”转化行为,并印证了标准太阳模型对太阳中微子总通量的预言是基本可靠的。这两篇论文在中微子物理学史上具有里程碑的意义,标志着困扰了科学家几十年的“太阳中微子失踪之谜”得以破解。解释SNO实验测量结果的最简单理论图像是中微子振荡。由于中微子具有微小的质量和较大的混合效应,从太阳中心通过核聚变产生的电子型中微子在向外传播的过程中以一定比例转化成了μ子型中微子和τ子型中微子,而后者由于能量太低无法在地球的探测器中触发相应的带电流相互作用,所以无法被戴维斯领导的实验以及其他实验所确认,这就造成了它们“失踪”的假象。SNO实验的独特之处就在于它能够同时测量太阳中微子与重水的三种不同相互作用,因此模型无关地确认了“失踪”的电子型中微子其实转化成了别的类型,但太阳中微子的总通量保持不变。

   

  上图取自SNO合作组2002年的论文,横坐标为电子型中微子的通量,纵坐标为μ子型和τ子型中微子的联合通量。图中红、绿、蓝带分别代表通过带电流相互作用、弹性散射和中性流相互作用所能确定的中微子通量,它们的交汇点就是SNO实验的测量结果。此外,图中的黑色虚线带代表标准太阳模型对中微子总通量的预言,与通过中性流相互作用所得到的实验值是一致的。 

  SNO实验所取得的重大科学成果首先将中微子天文学的先驱戴维斯和小柴教授送上了2002年底的诺贝尔领奖台。接下来人们关注的焦点就是SNO实验本身什么时候会获得诺贝尔物理学奖,但是后者却直到2015年才姗姗来迟,几乎耗尽了很多等待中的SNO合作组成员的热情。2015年11月21日,麦克唐纳教授在接受凯特·柳瑙(Kate Lunau)的采访时说,“假如你在小鸡孵出之前就开始数它们会有多少个,那么你会发疯的!我们所有的人都在继续干我们的科研。”(If you start counting your chickens before they hatch, you’ll go crazy. All of us got on with doing science)。

  由于时差的缘故,麦克唐纳是在2015年10月6日清晨5点15分收到来自斯德哥尔摩的喜讯的。妻子珍妮特回忆道,“(这个时候来电话),你马上会想到,谁死了?然后你会想到,你知道现在是什么时间吗?”(You immediately think, “Who is died?” Then you think, “Do you know what time it is?”)。当麦克唐纳听出电话那一边所讲的英语的瑞典口音时,他知道该发生的终于发生了,接下来就是一整天没完没了的电话祝贺和记者采访。

  2016年,麦克唐纳和他所领导的SNO合作组又获得了基础物理学突破奖。与他同获这一殊荣还有梶田隆章等四位日本教授及其领导的国际合作组,以及大亚湾实验的中方领导人王贻芳教授和美方发言人陆锦标教授。这些伟大的科学家和他们的团队在过去近二十年的时间里先后发现了大气中微子振荡、太阳中微子振荡、长短基线的反应堆中微子振荡和加速器中微子振荡,以令人信服的方式确认了中微子具有微小的静止质量以及不同类型的中微子之间可以相互转化的事实,从而突破了粒子物理学的标准模型,并开启了中微子物理学、中微子天文学和中微子宇宙学的新篇章!

   

  快盈v3王贻芳研究员、美国伯克利国家实验室陆锦标教授及大亚湾中微子实验团队获2016年基础物理学突破奖 


快盈v3    备案序号:京ICP备05002790号
地址:北京市918信箱    邮编:100049    电话:86-10-88235008    Email: ihep@ihep.ac.cn