首页 > 
2017

咔唑的压致荧光增强:分子内振动受限

文章来源: 发布时间:2018-06-21 【字体:      

  力致响应材料因其对外力刺激能智能的调控发光颜色及强度变化,在机械传感器、记忆芯片和安全油墨等领域具有潜在的应用价值。然而,由于压力导致ππ作用的增强,大多数有机荧光材料面临低发射效率的问题,这极大地限制了其实际应用。吉林大学超硬材料国家重点实验室邹勃教授课题组发现平面型咔唑分子晶体在高压条件下表现出荧光增强现象 (图1,大大地提高荧光材料固态发射效率相关的研究成果发表在了《The Journal of Physical Chemistry Letters》上 

  3 

  1 咔唑高压下荧光增强现象 

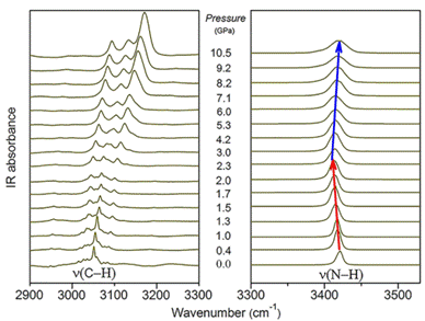
  2咔唑的高压红外光谱数据表明N—H伸缩振动先红移后蓝移,这意味着N—H键先被拉长又被缩短。这一变化是由N—H...π氢键的引起的。N—H伸缩振动受限抑制了无辐射振动跃迁,结果使得辐射跃迁增强,致使荧光发射增强。C—H伸缩振动蓝移说明分子间距离减小,人字形排布的分子趋向于相互平行状态,这将大大增强了ππ作用。 

  TIM截图20180605202355 

  2 咔唑的高压红外光谱 

  为了进一步证实结构与发光性质的关系,该课题组在北京同步辐射(BSRF4W2-高压实验站进行了高压XRD实验,实验最高压力为11.0GPa3是咔唑的高压同步辐射数据。从图3a中可以看出,随着压力的升高所有的衍射峰都向高角方向移动并且没有新峰的出现,这表示咔唑的晶格常数在高压下逐渐减小且没有发生结构相变。将同步辐射数据通过pawly精修得到晶胞参数随压力的变化(图3b)。从图中看到,b轴比a轴更容易压缩,也就是分子平面更趋向于ac面,这将导致π电子云重叠加剧,意味着ππ作用增强。 

  TIM截图20180605200030 

  3 咔唑的高压同步辐射数据 

  在这项研究中,同步辐射光源为咔唑晶体在高压下光学性质与晶体结构的关系提供了充分的实验数据这项研究工作不仅为受限分子振动机理提供了直接的实验证据,还为设计其他潜在的压致荧光增强材料提供了思路。 

  发表文章: 

Yarong Gu, Kai Wang,* Yuxiang Dai, Guanjun Xiao, Yuguo Ma, Yuancun Qiao, and Bo Zou*, Pressure-Induced Emission Enhancement of Carbazole: The Restriction of Intramolecular Vibration, J. Phys. Chem. Lett. 2017, 8, 4191?4196.

附件下载: